Redis 单机
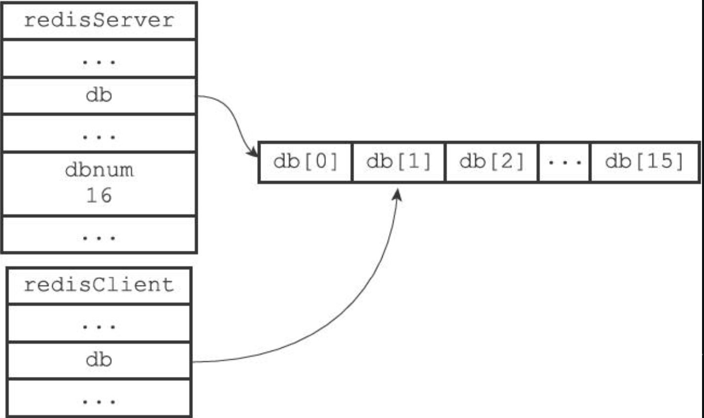
数据库 实现 Redis服务器将所有数据库都保存在服务器状态redis.h/redisServer结构的db数组中,db数组的每个项都是一个redis.h/redisDb结构,每个redisDb结构代表一个数据库。数组长度(数据库数量)
数据库
实现
Redis服务器将所有数据库都保存在服务器状态redis.h/redisServer结构的db数组中,db数组的每个项都是一个redis.h/redisDb结构,每个redisDb结构代表一个数据库。数组长度(数据库数量)由dbnum控制,默认有16个,通过SELECT命令切换数据库。
RedisClient结构中的db属性指向当前所使用的数据库,SELECT命令原理即修改该指针。

键空间
Redis是一个键值对K-V数据库服务器,服务器中的每个数据库都由一个redis.h/redisDb结构表示,其中,redisDb结构的dict字典保存了数据库中的所有键值对,这个字典称为键空间(key space)。所有针对数据库中数据的操作本质上都是对键空间字典的操作,同时也会进行一些维护:
- 读写键时,会记录键空间命中/不命中次数
- 更新键的LRU时间
- 删除读取到的过期键
- watch命令监视某个键时,修改后标记dirty,告知事务程序
- 根据配置发送相应的通知
过期回收
-
Expire | pExpire | ExpireAt | pExpireAt <key> <time>指定键的过期时间,单位s,p开头的命令单位ms- 实现上前三个最终都调用pExpireAt实现
- 底层在redisDb结构的expires字典保存所有键的过期时间,称过期字典。其键指向某个键的对象,其值是long long类型整数,表示ms精度的Unix时间戳
-
TTL | pTTL <key>返回剩余生存时间,即查询键的过期时间和当前时间之差 -
Persist <key>移除某个键的过期时间,即删除过期字典的某个键值对
- 不同的回收策略:
- 定时删除:创建定时器自动删除。内存友好,但消耗CPU时间
- 惰性删除:访问键时才执行判断删除。CPU友好,但容易造成部分键长时间无法删除
- 定期删除:每隔一段时间执行一次过期删除。上面两种方法的综合,但难以确定执行的频率和时长
- Redis的回收策略:惰性删除 + 定期删除
- 惰性删除由db.c/expireIfNeeded函数实现。算法同上
- 定期删除由redis.c/activeExpireCycle函数实现。在规定时间内,分多次遍历服务器中的各个数据库,从expires字典中随机检查一部分键的过期时间,并删除过期键。
- RDB持久化:
- 保存时,过期键不会写入新创建的RDB文件;
- 载入时,如果是主服务器模式,过期键不会加载
- 载入时,如果是从服务器模式,过期键依然会加载,由主从同步保证数据一致性
- AOF持久化:
- 保存时没有任何影响。但过期删除后,会向AOF文件追加DEL命令,显式记录该键已删除
- 重写时过期键不会写入
- 复制功能:由主服务器控制从服务器同意删除过期键,保证主从服务器的数据一致性
- 主服务器在删除一个过期键之后,会显式地向所有从服务器发送一个DEL命令,告知从服务器删除这个过期键
- 从服务器执行读命令时,即使碰到过期键也不会删除,继续像处理未过期键一样来处理
- 从服务器只有在接到主服务器发来的DEL命令之后,才会删除过期键
数据库通知
- 键空间通知:关于"某个键执行了什么命令"的通知
SUBSCRIBE __keyspace@0__:<key> - 键事件通知:关于"某个命令被什么键执行"的通知
SUBSCRIBE __keyevent@0__:<opt> - 服务器配置的notify-keyspace-events选项决定了服务器所发送通知的类型
- 底层由
notify.c/notifyKeyspaceEvent(type, event, key, bdid)函数实现
RDB 持久化
Redis提供RDB持久化功能,将内存数据保存到磁盘,生成经过压缩的二进制文件,避免数据丢失。
创建与载入
- 创建:
- SAVE:阻塞服务器进程,由主线程执行保存。
- 执行期间,所有客户端命令都会被拒绝
- BGSAVE:创建子进程执行保存
- 执行期间,新的SAVE、BGSAVE命令会被拒绝,防止竞争
- 执行期间,新的BGREWRITEAOF命令延迟到保存任务结束执行
- 出于性能考虑,BGREWRITEAOF命令执行期间,新的BGSAVE命令会被拒绝
- SAVE:阻塞服务器进程,由主线程执行保存。
- 载入:
- 服务器启动时自动载入,但优先级低于AOF文件
- 载入期间,服务器一直处于阻塞状态
自动保存
serverCron服务器周期性函数每隔100ms执行一次维护,其中包括RDB保存。触发的条件由配置中的save选项定义,满足选项中任意条件,将自动执行BGSAVE命令。
# save <time> <changes>
# 服务器在900秒之内,对数据库进行了至少1次修改。
save 900 1
# 服务器在300秒之内,对数据库进行了至少10次修改。
save 300 10
#服务器在60秒之内,对数据库进行了至少10000次修改。
save 60 10000
在实现上:redisServer结构的
- saveparams数组保存触发条件
- dirty计数器记录上次成功执行SAVE/BGSAVE后,所有数据库修改的总次数(每个键算一次)
- lastsave属性记录上次成功执行SAVE/BGSAVE的时间
RDB文件结构
整体结构:

- REDIS:RDB文件常量标志,占5Byte
- db_version: RDB文件版本号,占4Byte
- databases: 包含所有数据库数据,长度由数据库数据决定
- EOF:末尾常量标记,占1ByteREDIS_ENCODING_
- check_sum: 前4个字段的校验和,占8byte长的无符号整数
databases部分:

- SELECTDB: 标记下一个将读入数据库编号,占1Byte
- db_number: 数据库编号,占1/2/5Byte。读入后调用SELECT切换数据库
- key_value_pairs: 所有数据库的键值对数据,以及可选的过期时间
key_value_pairs部分:

- EXPIRETIME_MS: 可选,标记下一个将读入以ms为单位的过期时间,占1Byte
- ms: 可选,UNIX时间戳,8Byte有符号整数
- TYPE: 值对象类型/底层编码
- key: 字符串对象表示的键
- value: 值对象
value部分:

- 字符串对象:
- 如果是REDIS_ENCODING_INT,则以 ENCODING+integer 的形式保存,ENCODING标记占8/16/32位长
- 如果是REDIS_ENCODING_RAW,则保存的是字符串
- 对于长度$<=20Byte$的串,以 len+string 的形式保存
- 对于长度$>20Byte$的串,以 REDIS_RDB_ENC_LZF+compressed_len+origin_len+compressed_string 的形式保存,其中REDIS_RDB_ENC_LZF是LZF压缩算法标记
- 列表对象:
- TYPE为REDIS_RDB_TYPE_LIST,以 list_length+itemN+… 的形式保存
- 每个item按字符串对象保存
- 集合对象:
- TYPE为REDIS_RDB_TYPE_SET,以 set_size+elemN+… 的形式保存
- 每个elem按字符串对象保存
- 哈希表对象:
- TYPE为REDIS_RDB_TYPE_HASH,以 hash_size+keyN+valueN+… 的形式保存
- 每个键、值按字符串对象相邻保存
- 有序集合对象:
- TYPE为REDIS_RDB_TYPE_ZSET,以 sorted_set_size+memberN+scoreN+… 的形式保存
- 每个成员、分值按字符串对象相邻保存
- 分值由double转为字符串,载入时自动转换
- INTSET编码和集合:
- TYPE为REDIS_RDB_TYPE_SET_INTSET,将整数转为字符串,按字符串对象保存
- ZIPLIST编码的列表、哈希表、有序集合:
- TYPE为REDIS_RDB_TYPE_LIST|HASH|ZSET_ZIPLIST,将压缩列表类型的value转为字符串对象
分析RDB文件
od -cx dump.rdb 以ASCII和16进制打开RDB文件
redis-check-dump 工具
AOF 持久化
除了RDB持久化,Redis还提供AOF(Append Only File),通过保存所执行的写命令实现持久化。
实现
-
命令追加:服务器每执行完一个写命令,以协议格式将被执行的命令追加到redisServer的
aof_buf缓冲区 -
写入与同步:
- Redis服务器进程本质上是一个事件循环,其中文件事件负责处理客户端请求,时间事件负责执行serverCron这样定时运行的函数
- 每结束一个事件循环,会调用flushAppendOnlyFile函数,决定是否将aof_buf写入AOF文件中
- 同步行为由appendfsync选项值决定:
- always:每次有数据修改发生时都会写入AOF文件。效率最慢,安全性最高
- everysec:默认,每秒钟同步一次,显式地将多个写命令同步到硬盘。效率适中
- no:由 OS 决定何时进行同步。效率最高安全性最差
-
载入数据:创建不带网络连接的伪客户端(上下文),读取、分析并执行AOF文件中的每一条命令。
AOF 重写
为了避免大量写命令造成AOF文件体积过大,以及还原时间过长,需要用BGREWRITEAOF命令对AOF文件重写。
- 本质上并不读取旧AOF文件,而是创建一个新文件,直接读取数据库状态,然后将数据写入新AOF文件
- 为了避免客户端输入缓冲区溢出,对于超过REDIS_AOF_REWRITE_ITEMS_PER_CMD数量的键,分多条命令写入
- Redis使用子进程执行重写
- 优点:不阻塞服务器进程,且子进程带有服务器进程的数据副本,避免用锁保证数据安全
- 问题:重写过程中与服务器进程的数据不一致性。
- 解决方案:
- 子进程执行重写的过程中,新的客户端命令不仅要追加到aof_buf,还要追加到aof_rewrite_buf
- 子进程完成重写后,向服务器进程发送信号。由主进程将aof_rewrite_buf写入AOF文件,保证数据一致性
- 最后以原子操作,将新AOF文件改名覆盖旧AOF文件
事件
Redis服务器是基于Reactor模式的事件驱动程序,主要处理两类事件:
- 文件事件:服务器与客户端通信,对套接字操作的抽象
- 时间事件:定时操作的抽象
文件事件

- 套接字:文件事件的抽象,每当一个套接字准备好执行连接应答、写入、读取、关闭等操作时,就会产生一个文件事件
- 复用程序可以监听套接字的AE_READABLE | AE_WRITABLE事件
- 也可以同时监听AE_READABLE、AE_WRITABLE,如果同时产生事件,服务器将先读后写
- I/O多路复用程序:负责监听多个套接字,并向文件事件分派器传送那些产生了事件的套接字
- 所有产生事件的套接字都会放到一个队列里,然后以有序、同步、每次一个套接字的方式传送套接字
- 当上一个套接字产生的事件被处理完毕之后,才会继续传送下一个套接字
- 实现上通过包装常见的I/O多路复用库,如select, epoll, evport, kqueue等,且提供相同的API,编译时自动选择性能最高的函数库
- 文件事件分派器:接收I/O多路复用程序传来的套接字,并根据套接字产生的事件的类型调用相应的事件处理器
- 事件处理器:与不同任务的套接字关联的一个个函数,定义了某个事件发生时服务器应该执行的动作。常用的有三类:
- 连接应答处理器:acceptTcpHandler函数,用于对连接服务器监听套接字的客户端进行应答
- 命令请求处理器:readQueryFromClient函数,负责从套接字中读入客户端发送的命令请求内容
- 命令回复处理器:sendReplyToClient函数,负责将服务器执行命令后得到的回复通过套接字返回给客户端

时间事件
一个时间事件主要有三个属性组成:
- id:服务器为时间事件创建的全局唯一ID。ID从小到大递增
- when:毫秒精度的UNIX时间戳,记录了时间事件的到达时间
- timeProc:时间事件处理器,一个函数。当时间事件到达时,服务器就会调用相应的处理器来处理事件
Redis的时间事件分定时事件和周期性事件两类,目前仅使用周期性事件。类型取决于处理器的返回值:
- AE_NOMORE:定时事件,到达一次后就删除
- 非AE_NOMORE 周期性事件,根据返回值对事件的when属性更新,继续运行
实现上,服务器将所有时间事件放在一个无序链表(不按when属性排序,按id)中,每当时间事件执行器运行时,遍历整个链表,查找已到达的事件并调用相应的处理器。不过目前Redis仅有serverCron一个时间事件,因此实际上该链表仅一个节点。serverCron函数的工作包括:
- 更新服务器的各类统计信息,比如时间、内存占用、数据库占用情况等。
- 清理数据库中的过期键值对。
- 关闭和清理连接失效的客户端。
- 尝试进行AOF或RDB持久化操作。
- 如果服务器是主服务器,那么对从服务器进行定期同步。
- 如果处于集群模式,对集群进行定期同步和连接测试。
事件调度与执行

- 等待文件事件产生调用的是aeApiPoll,阻塞时间由到达时间最接近当前时间的时间事件决定,避免对时间事件频繁轮询也避免阻塞时间过长
- 文件事件是随机出现的,如果处理完一次文件事件,没有时间事件到达,将再次等待处理文件事件
- 对事件的处理都是同步、有序、原子的,不会中断也不会抢占。但都会尽量减少阻塞时间,并在需要时让出执行权
- 时间事件在文件事件之后,且不会抢占,因此时间事件的实际执行通常比设定时间稍晚一些
客户端
Redis是一对多的服务器程序,通过I/O多路复用实现单线程单进程处理所有客户端的命令请求。redisServer中的clients指针指向了保存所有客户端状态的redisClient结构数组。
通用属性
- fd: 客户端正在使用的套接字描述符
- 值 -1 表示伪客户端,包括AOF载入和Lua脚本两种场景
- 大于-1的整数即普通客户端
- name: 通过
CLIENT name xxx设置,让客户端身份更清晰 - flags:各种状态信息标志位
- querybuf:输入缓冲区,根据输入动态调节,最大1GB
- argv、argc:命令参数和数量
- cmd:命令函数,redisCommand类型
- buf、bufpos:固定大小的输出缓冲区和已使用大小,保存长度较小的回复
- reply:可变大小的输出缓冲区,链表结构,保存长度较大的回复
- authenticated:身份认证,0未通过,1通过。未通过时除AUTH命令外都会被拒绝执行
- ctime:客户端创建时间
- lastinteraction:上一次交互时间
- obuf_soft_limit_reached_time:输出缓冲区第一次到达软性限制的时间
- 服务器使用两种模式限制输出缓冲区大小,一种硬限制,超过即关闭客户端
- 另一种是软限制,超过后继续监测,如果持续一段时间(配合readched_time)一直超过则关闭。
创建与连接
- 普通客户端:
- 创建:通过网络连接,创建相应的redisClient,加入服务器状态的clients链表末尾
- 关闭:进程结束、请求不符合协议、KILL、timeout、I/O缓冲区溢出…
- Lua伪客户端:服务器初始化时创建负责执行Lua脚本的伪客户端,关联在redisServer/lua_client属性中,直到服务器销毁时才会关闭。
- AOF伪客户端:服务器载入AOF文件时,会创建用于执行AOF文件的伪客户端,载入完成后关闭。
服务器
命令执行过程
- 发送命令请求:用户键入命令请求,客户端将其转换成协议格式,然后通过连接套接字发送给服务器
- 读取命令请求:
- 服务器读取套接字中的请求,保存到redisClient的输入缓冲区
- 分析缓冲区内的请求,提取命令参数及个数,保存到argv、argc
- 调用命令执行器,执行指定命令
- 发送命令回复:
- 命令实现函数将回复保存在redisClient的输出缓冲区
- 服务器通过命令回复处理器,将回复发送给客户端,并清空缓冲区
- 接收命令回复:客户端接收回复并转换协议,打印出结果
命令执行器
-
根据redisClient的argv[0]在命令表中查找命令实现,即redisCommand结构,记录至cmd属性。主要属性有:
- name, proc实现函数, arity参数个数, sflags标记位, calls执行次数, milliseconds执行时长…

- name, proc实现函数, arity参数个数, sflags标记位, calls执行次数, milliseconds执行时长…
-
执行预备操作:检查cmd非NULL,检查命令参数,身份验证,内存占用,持久化/订阅/Lua/监视器等检查工作
-
调用命令实现函数:
- 调用redisClient->cmd->proc(client)
- 执行结果保存至输出缓冲区(buf/reply)
- 为客户端套接字关联回复处理器
-
执行后续工作:
- 跟新慢查询日志
- 更新redisClient相关属性
- AOF同步
- 主从同步
serverCron函数
- 更新服务器时间缓存,redisServer/unixtime、mstime
- serverCron每100ms执行一次,因此时间精度不高
- 仅用于对时间精度要求不高的功能,如打印日志、更新LRU时钟等
- 而需要高精度时间的任务,如设置过期时间、添加慢查询日志等,仍然执行系统调用获取准确时间
- 更新LRU时钟:对象最后一次被访问时间,估算值
- 更新服务器每秒执行命令次数:INFO status 命令的 instantaneous_ops_per_sec 属性,实现上是采样平均得到的估算值
- 更新服务器内存峰值记录:redisServer/stat_peak_memory
- 处理Sigterm结束服务器信号
- 管理客户端资源:释放超时的客户端连接、重置溢出的客户端输入缓冲区
- 管理数据库资源:删除过期键、收缩字典
- 执行被延迟的BGREWRITEAOF
- 检查持久化操作的运行状态:redisServer/rdb_child_pid, aof_child_pid记录执行持久化的子进程

- 同步AOF文件
- 关闭输出缓冲区溢出的客户端
- 增加cronloops计数器,记录serverCron执行次数
初始化服务器
- 初始化服务器状态结构:initServerConfig函数
- 设置服务器运行id、频率、配置文件路径、架构、端口、持久化条件,初始化LRU时钟,并创建命令表
- 载入配置选项:通过给定配置参数/配置文件,修改服务器的默认配置
- 初始化服务器数据结构:initServer函数
- server.clients: redisClient数组
- server.db: 数据库结构数组
- server.pubsub_channels/patterns: 保存频道订阅信息的字典、保存模式订阅信息的链表
- server.lua: 执行Lua脚本的Lua环境
- server.slowlog: 保存慢查询日志的结构
- 其它操作:设置进程信号处理器、创建共享对象、打开监听端口、创建时间事件、AOF持久化、初始化后台I/O
- 还原数据库状态:如果启用AOF,则用AOF文件还原,否则使用RDB文件
- 执行事件循环:可以开始接收客户端连接和请求
评论加载中。如果这里长期空白,请检查 giscus.app / GitHub 是否可访问。